新闻资讯
新闻资讯
- 司盘60和吐温80有什么区别?从成分和性能分别讲
- 司盘系列里司盘80的具体用途,我们该如何使用它
- 浅谈表面活性剂在化妆品中的应用
- 非离子型乳化剂——蔗糖脂肪酸酯的应用
- 水乳剂的稳定性如何提高唇膏的润肤性能?
联系我们
手机:13001518948
联系人:董经理
传真:0533-2971667
邮箱:span@span80.cn
地址:山东省淄博市张店区
新闻资讯
表面活性剂之非离子表面活性剂
- 作者:147小编
- 发布时间:2024-06-15
- 点击:224
非离子表面活性剂,顾名思义,在分子中并没有带电荷的基团,在水溶液中不电离,分子中的亲油基是有高碳脂肪醇、烷基酚、脂肪酸、脂肪胺和油脂等,而其水溶性则来自于分子中所具有的聚氧乙烯醚基和端羟基等。
非离子型表面活性剂乳化效果与溶液pH值无关,耐酸碱性良好,受盐和电解质的影响小,与其他表活复配使用。在化妆品配方中可用作乳化剂、清洁剂、增溶剂。
主要包括聚氧乙烯衍生物、烷基醇酰胺、多元醇单脂肪酸酯、烷基氧化胺、N-烷基吡咯烷酮。
一
聚氧乙烯衍生物
是由长链脂肪醇、烷基酚、高级脂肪酸多元醇酯为原料,与环氧乙烷进行缩合反应所得到的聚醚类化合物。
代表原料
脂肪醇聚氧乙烯醚
烷基酚聚氧乙烯醚
多元醇聚氧乙烯醚脂肪酸酯
1
脂肪醇聚氧乙烯醚
又名AEO,通式为RO(CH2CH2O)nH,其中R=C12-18,n=3-20。常用的脂肪醇为月桂醇、鲸蜡醇、油醇等。在化妆品中的使用目的:乳化剂、清洁剂、润肤剂、分散剂作用。
举例:鲸蜡硬脂醇聚醚-10;INCI名称:CETEARETH-10;别名:AEO-10;鲸蜡硬脂醇聚氧乙烯醚-10。白色蜡状体,不溶于水,HLB值为12.9。
结构式:n为10
2
烷基酚聚氧乙烯醚
又名TX;OP,烷基酚聚氧乙烯醚-n,n值大于8的该原料水溶性较好。
举例:壬基酚聚醚-10;INCI名称:NONOXYNOL-10;别名:TX-10、壬基酚聚氧乙烯(10)醚。透明液体,具有良好的润湿、乳化、分散、增溶、发泡、消泡和去污等功能,HLB值为13.3。
结构式:
3
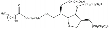
多元醇聚氧乙烯醚脂肪酸酯
典型的代表原料为聚氧乙烯失水山梨醇酯(Tween),又称为:聚山梨酸酯、吐温,为司盘和环氧乙烷的缩合物,由于其分子中有较多的亲水性基团一聚氧乙烯基,故亲水性强。包括T-20/21/40/60/61/65/80/81/85。
举例:聚山梨醇酯-20;INCI名称:POLYSORBATE 20; 别名:T-20、吐温20、聚氧乙烯( 20)山梨醇酐单月桂酸酯。
该原料常温下为淡黄色至黄色粘稠液体,具有微弱的特征气味。溶于水、乙醇、甲醇、乙酸乙酯,不溶于矿物油和石油醚。可用作乳化剂、分散剂、增溶剂。
其化学结构式为:
其中w+x+y+z=20
二
烷基醇酰胺
烷基醇酰胺是由脂肪酸和单乙醇胺(MEA)或二乙醇胺(DEA)缩合制得,其亲水基是酰胺基及羟基,亲油基是长链烷基。在化妆品中的主要使用目的为增稠剂、稳泡剂。
举例:椰油酰胺DEA,INCI名称:COCAMIDE DEA;别名:椰油脂肪酸二乙酰胺;6501;椰油酸二乙醇酰胺;无色粘稠液体,溶于水,具有良好的发泡、稳泡、抗静电等作用。
在《化妆品安全技术规范(2015年版)》中属于有质量规格要求的限用物质:在使用该原料时,不和亚硝基化体系(Nitrosating system)一起使用;避免形成亚硝胺;产品中仲链烷胺最大含量0.5%、亚硝胺最大含量50µg/kg;原料中仲链烷胺最大含量5%;存放于无亚硝酸盐的容器内。
结构式:(1:1型烷基酰胺DEA,其中R为椰油酸)
三
多元醇单脂肪酸酯
以多元醇为原料与脂肪酸进行酯化反应,亲油基是脂肪酸的长碳链,亲水基是未酯化的羟基。包括甘油脂肪酸酯、失水山梨醇酯。
1
甘油脂肪酸酯
能做表面活性剂的甘油脂肪酸酯为甘油与脂肪酸合成的单酯、二酯,主要用作乳化剂。
举例:甘油硬脂酸酯;INCI名称:GLYCERYL STEARATE;别名:甘油硬脂酸(单)酯,白色片状,不溶于水。主要用作乳化剂、助乳化剂、润肤剂。
结构式:
2
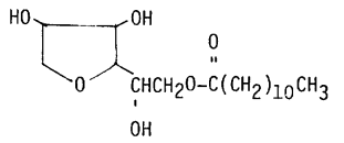
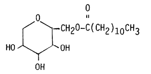
失水山梨醇酯(Span)
又称为:司盘、山梨醇酐单脂肪酸酯、失水山梨醇脂肪酸酯。是失水山梨醇与各类脂肪酸酯化反应制得的化合物。司盘系列原料在水中溶解度非常低,属于亲油性表面活性剂。在配方中常与吐温系列原料复配使用。包括S-20/40/60/65/80/85。
举例:山梨坦月桂酸酯;INCI名称:SORBITAN LAURATE;别名:S-20、司盘-20、山梨醇酐单月桂酸酯、失水山梨醇月桂酸酯。
该原料常温为琥珀色粘稠液体,常用作乳化剂、稳定剂、润滑剂。溶于异丙醇、甲醇、乙醇、乙二醇、矿物油等;不溶于水、丙二醇;能分散于水中,成乳状液体。
其化学结构式为:
I、
II、
III、
四
烷基氧化胺
由烷基叔胺经氧化反应制得的类似于季铵化合物的反应产物,结构上虽然是非离子表面活性剂,但该原料在酸性介质中,会显示弱的阳离子性,刺激性小,具有抗静电、调理作用,而当原料在碱性较强的介质时,比如pH>9时,烷基氧化胺则不再具有抗静电、调理作用。
烷基氧化胺在化妆品配方中还可作为增稠剂、稳泡剂。
举例:月桂基胺氧化物;INCI名称:LAURAMINE OXIDE;别名:十二烷基二甲基氧化胺、OB-2调理剂、OA-12,无色至淡黄色透明液体,可溶于水。
结构式:
五
N-烷基吡咯烷酮
表现类似于烷基氧化胺,结构上属于非离子表面活性剂,但其在酸性介质中,分子发生质子化,产生一个阳离子基团,所以会显示弱的阳离子性。用作发用产品的增稠剂、稳泡剂、发用调理剂,还可用作香精和其他组分的增溶剂。
举例:月桂基吡咯烷酮,INCI名称:LAURYL PYRROLIDONE;别名:N-月桂基吡咯烷酮;
结构式:
上述非离子表面活性剂,总结完毕,如有补充,欢迎留言。
- 上一篇:关于吐温80的生产方法
- 下一篇:水乳剂的稳定性如何提高唇膏的润肤性能?
